近年来,葡萄糖多相催化法制葡萄糖酸得到广泛关注,以期替代现有的生物催化法。然而,葡萄糖催化脱氢研究还非常有限,脱氢机理尚不完全清楚,直接限制了其实际应用。因此,详细研究生物质催化转化的化学机理可以实现其更广泛的应用,并指导催化剂的理性设计。

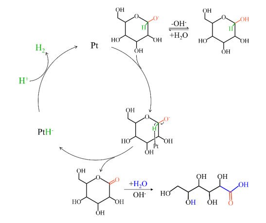
近日,大连理工大学梁长海课题组报道了关于葡萄糖脱氢生成葡萄糖酸(盐)和氢气的半缩醛脱氢路径及其反应网络。在室温(30oC)常压下,葡萄糖为底物,氢氧化钾为添加剂,Pt/CNTs为催化剂实现了~90%的葡萄糖酸(盐)和氢气收率。同位素标记实验及中间体捕获实验证实:在室温条件下,葡萄糖经由吡喃糖环结构直接脱氢生成内酯,内酯进一步水解生成目标产物。葡萄糖多相催化转化为葡萄糖酸的主流报道认为葡萄糖首先经开环后由端基醛氧化为醛糖酸,即开环氧化路径。密度函数理论(DFT)计算表明,半缩醛脱氢路径比以往报道的开环氧化路径消耗更少的能量。通过生物质衍生的其他己糖如半乳糖,甘露糖,果糖等进行底物拓展。结果表明具有半缩醛结构的醛糖可以通过半缩醛脱氢路径进行此类反应,而不具有半缩醛结构的酮糖不进行反应。

图1.葡萄糖脱氢反应及其反应机理
从资源稀缺性、安全性和环境问题的角度来看,化工行业正面临越来越多的挑战。立足“碳中和”发展,探索生物质催化转化机理为可再生生物质绿色转化提供指导,同时确保未来的可持续性。与以氧气或过氧化氢为氧化剂对葡萄糖的选择性氧化相比,葡萄糖脱氢制备葡萄糖酸不仅避免了氧化剂的使用,而且与传统方法相比还产生了额外的绿氢。葡萄糖脱氢反应具有高效,步骤经济,无氧化剂,原子经济性等特点,为生物质平台分子转化提供了新的思路。
以上研究成果作为封面论文发表在Chemistry–An Asian Journal上。研究工作得到了辽宁省“兴辽英才计划”项目(XLYC1908033)、中央高校基本科研专项资金(DUT2021TB03)的资助。
全文链接:https://onlinelibrary.wiley.com/doi/full/10.1002/asia.202200138